尿石素的代谢前体,是日本减肥市场的明星原料
03/20/2025 15:04:04
2024年,日本消费者厅共通过了1174种机能性标示食品的备案,其中减肥类产品有263个,占比22.4%。据统计发现,鞣花酸的使用量排名第一,共有63个减肥类产品中添加了鞣花酸,其次是黑姜多甲氧基黄酮(40个)和中链脂肪酸(辛酸、癸酸)(28个)。
日本市场使用的鞣花酸主要来源于石榴提取物和非洲芒果提取物。据产品宣称,鞣花酸有助于减轻肥胖者的体重、体脂、血液中性脂肪、内脏脂肪和腰围,并有助于改善高BMI值。
一、鞣花酸与鞣花单宁
鞣花酸(EA)是一种多酚化合物,主要存在于双子叶植物中。在植物中,EA主要以酯键形式与糖结合,形成可水解单宁,即鞣花单宁(ET)。与其他单宁一样,ET是高等植物的次级代谢产物,具有收敛能力,以及与蛋白质和多糖形成复合物的能力。无论在酸性还是碱性条件下,ET的酯键都会水解产生六羟基二苯甲酰(HHDP)基团,该基团自发内酯化为几乎不溶于水的EA。EA在水中的低溶解度及其有限的渗透性干扰其生物利用度,环糊精可以增强EA在水中的溶解度。

1831年,Braconnot 首次发现了鞣花酸,并将其命名为“acide ellagique”。蔷薇科浆果中EA含量丰富,比如云莓、覆盆子和草莓,在这些浆果中,EA大部分以ET的形式存在。其他重要的ET/EA来源包括核桃、碧根果、卡姆果、石榴、卡卡杜李等,其中,卡卡杜李的EA含量高达 140.2 g/kg,可能是最丰富的食用来源。石榴皮一直被认为是工业开发的重要原料来源。除了水果、坚果之外,制浆工业所用到的桉树也含有丰富的EA,据报道,巴西大桉中EA含量为512.8 mg/kg。

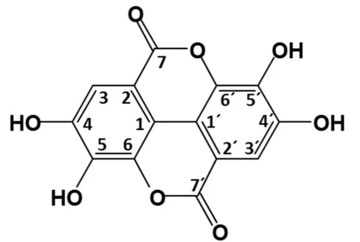
二、尿石素的代谢前体
尿石素是天然多酚化合物鞣花单宁(ET)类的肠道菌群代谢物,是二苯并[b , d]吡喃-6-酮的一个亚类,于2005年被Begoña Cerdá发现并正式命名,是阿育吠陀医学中喜来芝的重要组成部分。在体内,EA因其较低的生物利用度,仅部分在小肠中被吸收,未被吸收的EA分子进一步被大肠中的微生物代谢。EA通过内酯酶/脱羧酶活性去除其内酯基团之一,然后进行脱羧基反应,依次去除羟基,形成尿石素D、C、A和B。这些代谢物随着亲脂性的增加而被血液吸收,并可在体内循环,然后通过尿液排出。
尿液和血浆中出现的主要ET代谢物是尿石素A和B葡萄糖醛酸苷和硫酸盐,而次要代谢物是尿石素C和异尿石素A葡萄糖醛酸苷。摄入含有ET的食物后数小时(5 小时或更长时间)内,尿石素就会出现在血浆和尿液中,并在 48–72 小时内以游离和结合形式在血浆和尿液中被检测到。EA 和尿石素可在肠道和前列腺中积聚。有报道指出,EA 代谢为尿石素的途径是哺乳动物的特征,因为以含有EA食物为食的鸟类和昆虫不会产生尿石素。
三、鞣花酸的健康功效
EA因其显著的抗氧化、抗炎、抗诱变和抗增殖特性而备受关注。大量研究表明,EA可能参与调节一系列细胞信号通路,以预防或减缓慢性疾病的进展,包括心血管疾病、神经退行性疾病和糖尿病。此外,EA还被证明具有免疫支持、肝脏保护、肾脏保护、抗过敏、皮肤保护、伤口愈合等作用。
1、改善认知功能EA 的抗氧化特性及其捕获自由基的能力有助于预防氧化应激和神经退行性疾病的发生。多项体内外实验发现,EA可作为强效的神经保护剂,抵抗不同类型的压力源、化学诱发的神经毒性、神经退行性病变、癫痫发作、衰老、缺血性中风和糖尿病性神经病变等。EA可以减少神经炎症生物标志物(如TNF-α 和 IL-1β)并保护大脑免受自由基诱导的损伤,具有恢复痴呆症和其他认知障疾病记忆的能力。此外,EA可以显著抑制乙酰胆碱酯酶(AChE)的作用,从而上调认知潜力。
另外,Scientific reports上发表的一篇文章表明,口服EA可以显著缓解老年小鼠术后认知能力的下降。该研究发现,EA通过激活胰岛素样生长因子1(IGF-1)通路来抑制氧化应激和神经炎症,可以成为预防老年患者围手术期神经认知障碍的有力候选药物。

2、减肥促进褐色脂肪组织(BAT)的形成和功能(产热功能)可减轻肥胖。鞣花酸被证明可以调节脂肪细胞的形成和分化。一项针对SD大鼠的实验发现,EA 通过抑制白色脂肪细胞维持基因和促进关键产热基因的表达,使腹股沟白色脂肪组织 (iWAT) 褐变,从而改善了高脂饮食诱导的肥胖(DIO)大鼠的血脂异常和肝脂肪变性。
具体而言,EA降低了DIO大鼠的血清抵抗素水平,改善肝脏脂肪变性和血清脂质谱。此外,EA显著降低了Zfp423 和 Aldh1a1 的 mRNA 表达,这两者是WAT可塑性的关键决定因素。EA还增加了iWAT中褐色脂肪细胞标志物(包括 UCP1、PRDM16、Cidea、PGC1α、Ppar-α)、米色标志物(包括 CD137 和 TMEM26)和线粒体生物合成标志物(包括 TFAM)的 mRNA 表达。
某相关产品添加了非洲芒果提取物(含鞣花酸),可帮助肥胖人群减轻体重、减少体脂、血液甘油三酯、内脏脂肪和腰围,并有助于改善高 BMI 值。

3、皮肤保护紫外线(UV)辐射是导致DNA损伤和炎症反应的因素之一,可诱发各种皮肤病变,如光老化和光致癌。皮肤组织中细胞外基质(EMC)完整性的破坏是水泡形成和皮肤皱纹的原因,是光老化的标志。紫外线会直接或间接损伤DNA并通过增加基质金属蛋白酶(MMP)活性来干扰ECM的保存,所以,抑制MMP被认为是预防紫外线引发的光损伤的策略之一。
研究发现,鞣花酸可以抑制无毛小鼠真皮成纤维细胞中UV照射诱导的MMP产生以及真皮层胶原纤维的损失。此外,鞣花酸可以通过抑制ROS降低真皮成纤维细胞的胶原蛋白分解,并提高小鼠真皮中的胶原纤维水平(因UV-B照射而下降)。
局部使用鞣花酸可缓解UV-B引起的皮肤粗糙和增厚。此外,鞣花酸减少了长期暴露于UV-B的无毛小鼠皮肤中促炎细胞因子的释放。
某石榴提取物补充剂含有40%的鞣花酸,具有抗氧化和支持皮肤健康的功效。

4、改善心血管疾病EA作为一种抗氧化分子:
1)可以恢复心脏和血管内皮功能障碍,从而改善心血管功能;
2)可以降低化学物质和药物引起的心脏毒性;
3)可以抑制自由基的产生,保护心脏组织。此外,EA通过调节抗凋亡基因的表达和增强线粒体呼吸酶活性来减少心肌梗死面积并抑制心脏纤维化。EA通过抑制脂质过氧化进一步减少心室肥大的发生。
德国品牌推出的石榴提取物胶囊,含有40%的鞣花酸,每粒胶囊含有160毫克鞣花酸,可以支持心脏和关节健康。

参考文献
7 Bae JY, Choi JS, Kang SW, Lee YJ, Park J, Kang YH. Dietary compound ellagic acid alleviates skin wrinkle and inflammation induced by UV-B irradiation. Exp Dermatol. 2010 Aug;19(8):e182-90. doi: 10.1111/j.1600-0625.2009.01044.x. PMID: 20113347.
8 公众号食研汇




