肌肉不老药?这种天然植物激素,无需运动也能保持肌肉能量
09/18/2025 11:01:09
去年10月23日,日本化学品制造商Daicel在东京举办的食品开发展上推出了一种新的功能性食品成分『アストロホップ®』,据报道,这种成分含有啤酒花提取物8-异戊烯基柚皮素(8PN),可以在不运动的情况下抑制和恢复肌肉萎缩,从而有望成为支持健康老龄化的成分。

一 8PN的来源
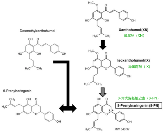
8-异戊烯基柚皮素(8PN)作为一种异戊烯基黄酮类化合物,存在于植物啤酒花(Humulus lupulus L.)中。早在1984年,Mizobuchi首次从啤酒花中发现了这一化合物。到了1999年,Milligan及其团队成功实现了8PN的分离。啤酒花长期以来被用于啤酒的防腐和调味,而其提取物被发现能有效缓解女性更年期的潮热症状。这一效用被认为与啤酒花中含有的具有雌激素活性的化合物有关,尤其是8PN,它作为一种天然的选择性雌激素受体调节剂,显示出作为女性激素替代疗法的潜力。

啤酒花还含有黄腐酚(XH)和异黄腐酚(IX),在人体内,8PN是通过肠道细菌将IX转化形成[2],据报道,大约有60%的人无法通过肠道细菌合成8PN。日本Daicel公司发现了从 IX中高效产生8PN的肠道细菌,并创造了一种厌氧发酵专利,使细菌能够高效产生8PN (JP 2020-115858)。

二 不运动也能维持肌肉能量
根据厚生劳动省的调查,日本65岁以上老人护理的主要原因是关节病、骨折跌倒和老年虚弱,这三者占比近40%。这些均与肌肉减少症有关,这是一种随年龄增长导致的肌肉质量和功能下降,能够影响健康寿命并增加疾病风险。
在一项小鼠肌肉废用模型研究中,手术前18天通过饲料补充8PN能够显著减轻由坐骨神经去神经化引起的肌肉萎缩。研究发现,去神经化过程中,对照组小鼠的Akt蛋白磷酸化水平下降,而摄入8PN的小鼠在去神经肌肉中保持了与假手术组相似的Akt磷酸化水平。此外,去神经化通常会引起骨骼肌特异性泛素连接酶atrogin-1的表达增加,而8PN的摄入能够将这种增加减少大约50%。
此外,研究证实,补充8PN加速了废用性萎缩肌肉的恢复,并阻止了右肢固定条件下的雄性 C57BL/6 小鼠的Akt磷酸化减少。对于老年人来说,补充8PN 可以在不运动的情况下,通过增加骨骼肌对氨基酸的摄取来抑制肌肉萎缩。
三、促进健康老龄化,8PN功效不止于此
1)改善更年期症状
植物雌激素作为潜在替代方案,在调节与性激素变化相关的健康问题研究中备受关注。8PN的活性显著高于传统的植物雌激素,如香豆素(0.6-150倍)、染料木黄酮(8-150倍)和大豆苷元(50-1500倍)。
在更年期潮热动物模型中,以补充雌激素化合物后测量卵巢切除大鼠尾部皮肤温度 (TST) 的方法为代表,证实了 8PN 在皮下或口服剂量后恢复正常TST的作用。这表明 8PN 也可用于缓解女性潮热。在另一项更年期妇女研究中,补充10微克 8PN后可有效改善更年期症状。
2)预防骨质疏松
更年期伴随的雌激素水平降低常常导致骨密度减少。研究发现,8PN和柚皮素均能促进成骨细胞的分化,研究人员进一步比较了8PN和柚皮素。结果显示,8PN在增强大鼠颅骨来源的成骨细胞分化和功能方面优于柚皮素。此外,8PN在抑制兔骨髓细胞中破骨细胞的形成、促进破骨细胞凋亡以及降低其吸收活性方面表现更为显著,从而强调了柚皮素结构中的异戊二烯基团在骨骼保护机制中的关键作用。

3)抗糖尿病
据报道,8PN具有抗糖尿病作用。在2型糖尿病小鼠模型中,8PN降低了血浆葡萄糖水平,并改善了口服葡萄糖和胰岛素耐量测试中的葡萄糖处理能力。进一步研究表明,8PN能增加骨骼肌中胰岛素调节信号分子AS160的蛋白质含量,这表明该组织对葡萄糖的摄取能力有所改善。在人体实验中,补充柚皮素可以减轻体重和胰岛素抵抗,并上调 PPARα 和 PPARγ。
4)心血管健康
植物雌激素对心血管疾病的保护作用主要是通过抑制血小板的功能来实现[2]。研究显示,8PN能够有效抑制由不同激动剂引起的血小板聚集以及血小板与胶原蛋白基质的粘附作用。这种抑制作用的发生是通过依赖于胶原蛋白和凝血酶受体所介导的不同下游分子,包括Pyk2、Akt和ERK1/2的信号通路。此外,8PN还具有抗氧化、抗菌、降血脂、神经保护等作用。
四 8PN的应用前景
Global Market Insights数据显示,2022年全球啤酒花市场规模为 77.5 亿美元,预计到 2032 年将达到143.5亿美元,预测期内的复合年增长率为 6.3%。Swanson推出的啤酒花提取物补充剂Estro8Pn™,产品提供强大的植物雌激素,其性能优于大豆衍生的植物雌激素,有益于改善更年期女性盗汗和潮热症状。

来自Sekoya 的睡眠补充剂将啤酒花提取物8PN与维生素 B6 相结合,这种天然配方针对寻求安宁睡眠的人,可缓解夜间不适和紧张。

Buddha Teas 推出的啤酒花茶具有浓郁的苦味,令人振奋和清爽,有益于整体健康,包括支持健康的消化系统、缓解失眠症状、可以帮助平息焦虑等。




