改善失眠、缓解焦虑的秘诀:柠檬香蜂草
12/26/2024 10:32:45
近期,《Nutrients》发表了一篇新的研究文献,该研究指出:柠檬香蜂草(Melissa officinalis)可以减轻失眠的严重程度,改善睡眠质量和深度睡眠的持续时间,这进一步验证了柠檬香蜂草在改善失眠方面有良好的效果。

柠檬香蜂草改善睡眠得到新验证
这项前瞻性、双盲、安慰剂对照、交叉研究招募了30名年龄在18岁- 65岁的参与者(13 名男性和 17 名女性),并为他们配备了睡眠监测设备来评估失眠严重程度指数(ISI)、身体活动以及焦虑情绪。参与者的必要特征是醒来时会感到疲劳,通过睡眠不能恢复精神。
每位参与者都会收到一个试剂盒,其中包含两个相同的盒子(一个装有MOP:每片含有200毫克活性柠檬香蜂草磷脂复合物,另一个装有安慰剂),每个试剂盒中的两个盒子都预先用“1”或“2”编号,数字对应摄入顺序。采用区组随机化方法将受试者分成两组,第一组先服用MOP,后服用安慰剂;第二组先服用安慰剂,后服用MOP。所有受试者每晚睡前30分钟服用2片MOP或安慰剂,该研究持续5周,如图所示,补充剂1和2的摄入时间均为2周,补充剂1结束和补充剂2开始之间有7天的洗脱期。

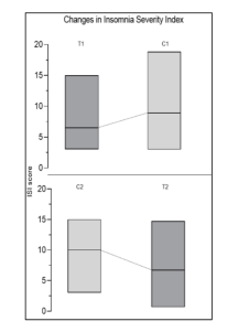
研究结果发现,对于ISI,MOP组和安慰剂组之间存在统计学显著差异,前者平均指数比后者减少了2.9分。当受试者从MOP组过渡到安慰剂组时,ISI评分上升,而从安慰剂组过渡到MOP组时,ISI评分下降(如下图所示)。这些结果表明,与安慰剂相比,服用MOP后睡眠质量和主观睡眠感均有显著改善。此外,研究还发现,MOP组的深度睡眠(SWS)显著增加。MOP对睡眠的影响不受体力活动或焦虑水平的影响。

柠檬香蜂草对于睡眠的改善归因于其功效成分--迷迭香酸。研究发现,迷迭香酸具有抑制GABA-转氨酶的活性。
不止于改善睡眠
柠檬香蜂草是薄荷科的一种多年生草本植物,历史长达2000余年,它原产于欧洲中南部、地中海盆地等地区。在传统的波斯医学中,柠檬香蜂草具有镇静作用和对神经系统的保护作用。它的叶子有淡淡的柠檬香味,在夏季,它会开出充满花蜜的小白花,从而吸引蜜蜂采蜜。在欧洲,柠檬香蜂草可用于吸引蜜蜂来生产蜂蜜,也可作为观赏植物,还可用于榨取精油,柠檬香蜂草的叶子可用作药草、茶和调味品。

事实上,作为一种拥有悠久历史的植物,柠檬香蜂草的功效并不限于改善睡眠,它在调节情绪、促进消化、解痉、舒缓皮肤刺激以及促进伤口愈合等方面均有一定的作用。研究发现,柠檬香蜂草的主要成分包括挥发油(柠檬醛、香茅醛、香叶醇和芳樟醇油)、酚酸(迷迭香酸和咖啡酸)、黄酮类化合物(槲皮素、山奈酚和芹菜素)、三萜类化合物(熊果酸和齐墩果酸)和其他次级代谢物,如单宁、香豆素和多糖。
调节情绪:研究发现,每天补充1200 毫克柠檬香蜂草,失眠、焦虑、抑郁和社会功能障碍评分显著下降。这是因为柠檬香蜂草中的迷迭香酸和类黄酮等化合物能调节多种大脑信号通路,包括 GABA能、胆碱能和血清素能系统。进而缓解压力、促进整体健康。
护肝:柠檬香蜂草提取物中的乙酸乙酯部分被证明可以减少小鼠高脂肪诱导的非酒精性脂肪性肝炎。研究发现,柠檬香蜂草提取物和迷迭香酸能减少小鼠肝脏中的脂质积累、甘油三酸酯含量和纤维化,改善小鼠肝损伤。
抗炎:柠檬香蜂草具有显著的抗炎活性,这归功于丰富的酚酸、黄酮类化合物和挥发油。这些化合物通过各种机制起作用,减轻炎症。首先,柠檬香蜂草可以抑制促炎细胞因子的产生,而促炎细胞因子在炎症反应中起着至关重要的作用。柠檬香蜂草还含有抑制环氧合酶 (COX) 和脂氧合酶 (LOX) 的化合物,这两种酶参与产生前列腺素和白三烯等炎症介质。
调节肠道菌群:柠檬香蜂草通过抑制有害病原体来调节肠道菌群,从而促进更健康的微生物平衡。研究发现,柠檬香蜂草可能具有益生元作用,促进有益肠道细菌(如动物双歧杆菌)的生长。柠檬香蜂草的抗炎和抗氧化特性也有助于减少炎症,保护肠道细胞免受氧化应激,为有益细菌的生长创造更有利的环境。
柠檬香蜂草产品层出不穷
Future市场数据显示,柠檬香蜂草提取物市场价值将从 2023 年的 16.281 亿美元增至 2033 年的 27.811 亿美元。各种形式(液体、粉末、胶囊等)的柠檬香蜂草产品层出不穷。由于具有类似柠檬的味道,柠檬香蜂可作为烹饪菜肴的调味剂,用来给果酱、果冻增甜,或者作为利口酒的调味品。此外,柠檬香蜂草还用于化妆品中。




