52232-67-4

  • 中文名称:醋酸特立帕肽
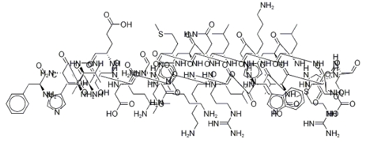
  • 分子式:C172H278N52O47S2
  • 纯度:99%
  • 分子量:3890.49792
询价

产品详情

熔点:>205oC (dec.)

包装:25公斤/桶

外观:白色固体

生产能力:25-500公斤/月

产品用途:医药原料

交货时间:3-7天

纯度:99%

特立帕肽刺激骨形成和骨吸收,可减少绝经后妇女骨折的发生率,根据给药方式的不同,还能提高或降低骨密度。 连续输注可导致甲状旁腺素PTH浓度持续增高,

相关产品