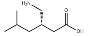
60142-96-3

  • 中文名称:加巴喷丁
  • 分子式:C9H17NO2
  • 纯度:99%
  • 分子量:171.24
询价

产品详情

熔点:162°C

包装:25公斤/桶

外观:白色固体

生产能力:25-500公斤/月

产品用途:医药原料

交货时间:3-7天

纯度:99%

加巴喷丁可用于疱疹感染后神经痛;用于成人和 12 岁以上儿童伴或不伴继发性全身发作的部分性发作的辅助治疗。也可用于 3~12 岁儿童的部分性发作的辅助治疗。

相关产品