84776-79-4

  • 中文名称:C16-18磷脂酰丝氨酸
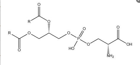
  • 分子式:
  • 纯度:99%
  • 分子量:0
询价

产品详情

包装:25公斤/桶

外观:白色固体

生产能力:25-500公斤/月

产品用途:天然植物提取物

交货时间:3-7天

纯度:99%

磷脂酰丝氨酸(Phosphatidylserine)又称复合神经酸。简称PS,由天然大豆榨油剩余物提取。是细胞膜活性物质,尤其存在于大脑细胞中。其功能主要是改善神经细胞功能,调节神经脉冲的传导,增进大脑记忆功能

相关产品