产品详情
熔点:345-350 °C
包装:25公斤/每桶
外观:白色固体
生产能力:25-500公斤/月
产品用途:天然植物提取物
交货时间:3-7天
纯度:99%
可可碱(theobromine),学名3,7-二甲基黄嘌呤(3,7-dimethylxanthine),具有Chemicalbook利尿、心肌兴奋、血管舒张、平滑肌松弛等作用;其在食品加工中用作苦味剂,同时也广泛应用于生化研究、药物合成等。
相关产品
-
SR9011
CAS:1379686-29-9
-
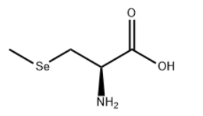
L-硒甲基硒代半胱氨酸
CAS:26046-90-2
-
薁磺酸钠
CAS:6223-35-4




