Coenzyme Q10: Basics, Function, and Dietary Sources
02/19/2025 14:51:55
1. What is Coenzyme Q10?
Coenzyme Q10 is a fat-soluble quinone compound that can be endogenously synthesized from tyrosine in the human body and can also be ingested from food.
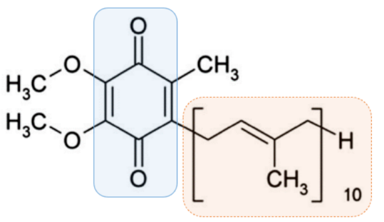
Because it contains 10 isoprene units in its side chain, it is called coenzyme Q10.

2. Coenzyme Q10 is a cellular respiration activator?
What is cellular respiration?
Cellular respiration refers to the process in which substances such as sugar, fat, and protein undergo a series of oxidation and decomposition in the body, gradually releasing energy and generating ATP, and ultimately CO2 and H2O.
This process requires the consumption of oxygen and the elimination of carbon dioxide, and is carried out within cells, so it is also called cellular respiration.
Coenzyme Q is an essential component for mitochondrial synthesis of ATP and an activator of cellular respiration and cell metabolism.
3. What foods contain Coenzyme Q10?

Coenzyme Q10 is not a vitamin and can be synthesized by the human body itself.
Foods such as sardines, saury, animal offal, beef, peanuts, walnuts, cashews, etc. are relatively rich in content.
The daily intake of Coenzyme Q10 for ordinary dieters is about 2-5mg.
For most ordinary people, the amount of Coenzyme Q10 synthesized by themselves is large enough and there will be no deficiency problem. Therefore, it is not recommended for healthy people to use pharmaceutical Coenzyme Q10 for supplementation.




